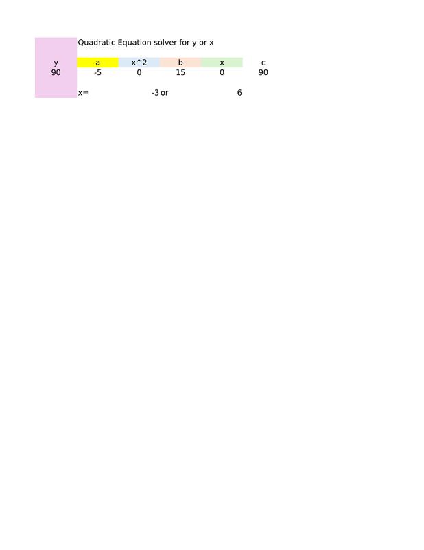
As mentioned in our introduction to mathematical modelling , problems identified in the real world are mapped across to the mathematical domain to be formulated and solved before being...
Enter your email and we'll send you reset instructions
Network
My requests
You don't have any notifications
You have no active requests
Please introduce yourself to proceed
My Uploads
Score:
Embed HTML
Many sites and online services, like Google Maps, suggest HTML code (usually iframes) to embed widgets and content on your page.
You can add such HTML widgets in your quizzes.
Please note:
In case pasted code is not just iframe tag it will be wrapped into HTTPS iframe.
Only HTTPS sources for iframes, styles and javascript links are supported.
Non-HTTPS sources will be blocked by the browser and won't behave properly.