A-Level Maths - Pure Yr1
Edexcel 8MA0

alevel@mkcollege.ac.uk

A-Level Maths: B3-11 [Quadratics: Examples of Completing the Square with the form ax^2 + bx + c]
Original link
Edexcel AS Level Maths : 2.4 Quadratic Graphs
Original link
Completing the Square
" Completing the Square " is where we ...
Original link
Completing The Square Pdf
Completing The Square
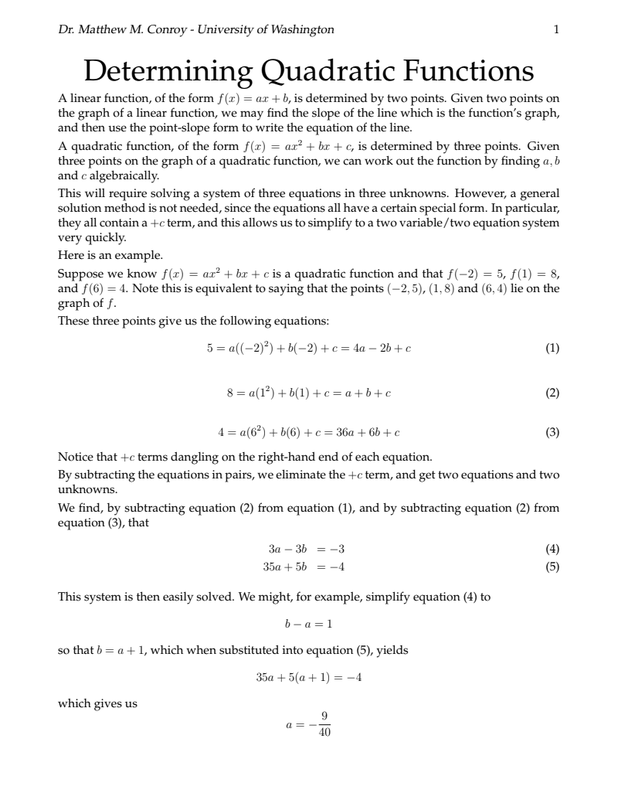
Finding the quadratic equation from the graph (or the points on the graph) using simultaneous equations